Непрерывная функция. Как исследовать функцию на непрерывность? Различные определения непрерывности функции в точке
Процесс исследования функции на непрерывность неразрывно связан с навыком нахождения односторонних пределов функции. Поэтому, чтобы приступить к изучению материала данной статьи, желательно предварительно разобрать тему предела функции.
Определение 1Функция f (x) является непрерывной в точке x 0 , если предел слева равен пределу справа и совпадает со значением функции в точке x 0 , т.е.: lim x → x 0 - 0 f (x) = lim x → x 0 + 0 f (x) = f (x 0)
Данное определение позволяет вывести следствие: значение предела функции в точках непрерывности совпадает со значением функции в этих точках.
Пример 1
Дана функция f (x) = 1 6 (x - 8) 2 - 8 . Необходимо доказать ее непрерывность в точке х 0 = 2 .
Решение
В первую очередь, определим существование предела слева. Чтобы это сделать, используем последовательность аргументов х n , сводящуюся к х 0 = 2 · (х n < 2) . Например, такой последовательностью может быть:
2 , 0 , 1 , 1 1 2 , 1 3 4 , 1 7 8 , 1 15 16 , . . . , 1 1023 1024 , . . . → 2
Соответствующая последовательность значений функций выглядит так:
f (- 2) ; f (0) ; f (1) ; f 1 1 2 ; f 1 3 4 ; f 1 7 8 ; f 1 15 16 ; . . . ; f 1 1023 1024 ; . . . = = 8 . 667 ; 2 . 667 ; 0 . 167 ; - 0 . 958 ; - 1 . 489 ; - 1 . 747 ; - 1 . 874 ; . . . ; - 1 . 998 ; . . . → - 2
на чертеже они обозначены зеленым цветом.
Достаточно очевидно, что такая последовательность сводится к - 2 , значит lim x → 2 - 0 1 6 (x - 8) 2 - 8 = - 2 .
Определим существование предела справа: используем последовательность аргументов х n , сводящуюся к х 0 = 2 (х n > 2) . Например, такой последовательностью может быть:
6 , 4 , 3 , 2 1 2 , 2 1 4 , 2 1 8 , 2 1 16 , . . . , 2 1 1024 , . . . → 2
Соответствующая последовательность функций:
f (6) ; f (4) ; f (3) ; f 2 1 2 ; f 2 1 4 ; f 2 1 8 ; f 2 1 16 ; . . . ; f 2 1 1024 ; . . . = = - 7 . 333 ; - 5 . 333 ; - 3 . 833 ; - 2 . 958 ; - 2 . 489 ; - 2 . 247 ; - 2 . 247 ; - 2 . 124 ; . . . ; - 2 . 001 ; . . . → - 2
на рисунке обозначена синим цветом.
И эта последовательность сводится к - 2 , тогда lim x → 2 + 0 1 6 (x - 8) 2 - 8 = - 2 .
Действиями выше было показано, что пределы справа и слева являются равными, а значит существует предел функции f (x) = 1 6 x - 8 2 - 8 в точке х 0 = 2 , при этом lim x → 2 1 6 (x - 8) 2 - 8 = - 2 .
После вычисления значения функции в заданной точке очевидно выполнение равенства:
lim x → 2 - 0 f (x) = lim x → 2 + 0 f (x) = f (2) = 1 6 (2 - 8) 2 - 8 = - 2 что свидетельствует о непрерывности заданной функции в заданной точке.
Покажем графически:
Ответ: Непрерывность функции f (x) = 1 6 (x - 8) 2 - 8 в заданной части доказано.
Устранимый разрыв первого рода
Определение 2Функция имеет устранимый разрыв первого рода в точке х 0 , когда пределы справа и слева равны, но не равны значению функции в точке, т.е.:
lim x → x 0 - 0 f (x) = lim x → x 0 + 0 f (x) ≠ f (x 0)
Пример 2
Задана функция f (x) = x 2 - 25 x - 5 . Необходимо определить точки ее разрыва и определить их тип.
Решение
Сначала обозначим область определения функции: D (f (x)) ⇔ D x 2 - 25 x - 5 ⇔ x - 5 ≠ 0 ⇔ x ∈ (- ∞ ; 5) ∪ (5 ; + ∞)
В заданной функции точкой разрыва может служить только граничная точка области определения, т.е. х 0 = 5 . Исследуем функцию на непрерывность в этой точке.
Выражение x 2 - 25 x - 5 упростим: x 2 - 25 x - 5 = (x - 5) (x + 5) x - 5 = x + 5 .
Определим пределы справа и слева. Поскольку функция g (x) = x + 5 является непрерывной при любом действительном x , тогда:
lim x → 5 - 0 (x + 5) = 5 + 5 = 10 lim x → 5 + 0 (x + 5) = 5 + 5 = 10
Ответ: пределы справа и слева являются равными, а заданная функция в точке х 0 = 5 не определена, т.е. в этой точке функция имеет устранимый разрыв первого рода.
Неустранимый разрыв первого рода также определяется точкой скачка функции.
Определение 3 Пример 3
Задана кусочно-непрерывная функция f (x) = x + 4 , x < - 1 , x 2 + 2 , - 1 ≤ x < 1 2 x , x ≥ 1 . Необходимо изучить заданную функцию на предмет непрерывности, обозначить вид точек разрыва, составить чертеж.
Решение
Разрывы данной функции могут быть лишь в точке х 0 = - 1 или в точке х 0 = 1 .
Определим пределы справа и слева от этих точек и значение заданной функции в этих точках:
- слева от точки х 0 = - 1 заданная функция есть f (x) = x + 4 , тогда в силу непрерывности линейной функции: lim x → - 1 - 0 f (x) = lim x → - 1 - 0 (x + 4) = - 1 + 4 = 3 ;
- непосредственно в точке х 0 = - 1 функция принимает вид: f (x) = x 2 + 2 , тогда: f (- 1) = (- 1) 2 + 2 = 3 ;
- на промежутке (- 1 ; 1) заданная функция есть: f (x) = x 2 + 2 . Опираясь на свойство непрерывности квадратичной функции, имеем: lim x → - 1 + 0 f (x) = lim x → - 1 + 0 (x 2 + 2) = (- 1) 2 + 2 = 3 lim x → 1 - 0 f (x) = lim x → 1 - 0 (x 2 + 2) = (1) 2 + 2 = 3
- в точке х 0 = - 1 функция имеет вид: f (x) = 2 x и f (1) = 2 · 1 = 2 .
- справа от точки х 0 заданная функция есть f (x) = 2 x . В силу непрерывности линейной функции: lim x → 1 + 0 f (x) = lim x → 1 + 0 (2 x) = 2 · 1 = 2
Ответ: в конечном счете мы получили:
- lim x → - 1 - 0 f (x) = lim x → - 1 + 0 f (x) = f (- 1) = 3 - это означает, что в точке х 0 = - 1 заданная кусочная функция непрерывна;
- lim x → - 1 - 0 f (x) = 3 , lim x → 1 + 0 f (x) = 2 - таким образом, в точке х 0 = 1 определён неустранимый разрыв первого рода (скачок).
Нам остается только подготовить чертеж данного задания.
Функция имеет разрыв второго рода в точке х 0 , когда какой-либо из пределов слева lim x → x 0 - 0 f (x) или справа lim x → x 0 + 0 f (x) не существует или бесконечен.
Пример 4
Задана функция f (x) = 1 x . Необходимо исследовать заданную функцию на непрерывность, определить вид точек разрыва, подготовить чертеж.
Решение
Запишем область определения функции: x ∈ (- ∞ ; 0) ∪ (0 ; + ∞) .
Найдем пределы справа и слева от точки х 0 = 0 .
Зададим произвольную последовательность значений аргумента, сходящуюся к х 0 слева. К примеру:
8 ; - 4 ; - 2 ; - 1 ; - 1 2 ; - 1 4 ; . . . ; - 1 1024 ; . . .
Ей соответствует последовательность значений функции:
f (- 8) ; f (- 4) ; f (- 2) ; f (- 1) ; f - 1 2 ; f - 1 4 ; . . . ; f - 1 1024 ; . . . = = - 1 8 ; - 1 4 ; - 1 2 ; - 1 ; - 2 ; - 4 ; . . . ; - 1024 ; . . .
Очевидно, что эта последовательность является бесконечно большой отрицательной, тогда lim x → 0 - 0 f (x) = lim x → 0 - 0 1 x = - ∞ .
Тепереь зададим произвольную последовательность значений аргумента, сходящуюся к х 0 справа. К примеру: 8 ; 4 ; 2 ; 1 ; 1 2 ; 1 4 ; . . . ; 1 1024 ; . . . , и ей соответствует последовательность значений функции:
f (8) ; f (4) ; f (2) ; f (1) ; f 1 2 ; f 1 4 ; . . . ; f 1 1024 ; . . . = = 1 8 ; 1 4 ; 1 2 ; 1 ; 2 ; 4 ; . . . ; 1024 ; . . .
Эта последовательность - бесконечно большая положительная, а значит lim x → 0 + 0 f (x) = lim x → 0 + 0 1 x = + ∞ .
Ответ : точка х 0 = 0 - точка разрыва функции второго рода.
Проиллюстрируем:
Если вы заметили ошибку в тексте, пожалуйста, выделите её и нажмите Ctrl+Enter
Непрерывность функции. Точки разрыва.
Идет бычок, качается, вздыхает на ходу:
– Ох, доска кончается, сейчас я упаду!
На данном уроке мы разберём понятие непрерывности функции, классификацию точек разрыва и распространённую практическую задачу исследования функции на непрерывность . Из самого названия темы многие интуитивно догадываются, о чём пойдёт речь, и думают, что материал довольно простой. Это правда. Но именно несложные задачи чаще всего наказывают за пренебрежение и поверхностный подход к их решению. Поэтому рекомендую очень внимательно изучить статью и уловить все тонкости и технические приёмы.
Что нужно знать и уметь? Не очень-то и много. Для качественного усвоения урока необходимо понимать, что такое предел функции . Читателям с низким уровнем подготовки достаточно осмыслить статью Пределы функций. Примеры решений и посмотреть геометрический смысл предела в методичке Графики и свойства элементарных функций . Также желательно ознакомиться с геометрическими преобразованиями графиков , поскольку практика в большинстве случаев предполагает построение чертежа. Перспективы оптимистичны для всех, и даже полный чайник сумеет самостоятельно справиться с задачей в ближайший час-другой!
Непрерывность функции. Точки разрыва и их классификация
Понятие непрерывности функции
Рассмотрим некоторую функцию , непрерывную на всей числовой прямой:
Или, говоря лаконичнее, наша функция непрерывна на (множестве действительных чисел).
Каков «обывательский» критерий непрерывности? Очевидно, что график непрерывной функции можно начертить, не отрывая карандаша от бумаги.
При этом следует чётко отличать два простых понятия: область определения функции
и непрерывность функции
. В общем случае это не одно и то же
. Например:
Данная функция определена на всей числовой прямой, то есть для каждого
значения «икс» существует своё значение «игрека» . В частности, если , то . Заметьте, что другая точка выколота, ведь по определению функции, значению аргумента должно соответствовать единственное
значение функции. Таким образом, область определения
нашей функции: .
Однако эта функция не является непрерывной на ! Совершенно очевидно, что в точке она терпит разрыв . Термин тоже вполне вразумителен и нагляден, действительно, карандаш здесь по любому придётся оторвать от бумаги. Немного позже мы рассмотрим классификацию точек разрыва.
Непрерывность функции в точке и на интервале
В той или иной математической задаче речь может идти о непрерывности функции в точке, непрерывности функции на интервале, полуинтервале или непрерывности функции на отрезке. То есть, не существует «просто непрерывности» – функция может быть непрерывной ГДЕ-ТО. И основополагающим «кирпичиком» всего остального является непрерывность функции в точке .
Теория математического анализа даёт определение непрерывности функции в точке с помощью «дельта» и «эпсилон» окрестностей, но на практике в ходу другое определение, которому мы и уделим самое пристальное внимание.
Сначала вспомним односторонние пределы
, ворвавшиеся в нашу жизнь на первом уроке о графиках функций
. Рассмотрим будничную ситуацию:
Если приближаться по оси к точке слева
(красная стрелка), то соответствующие значения «игреков» будут идти по оси к точке (малиновая стрелка). Математически данный факт фиксируется с помощью левостороннего предела
:
Обратите внимание на запись (читается «икс стремится к ка слева»). «Добавка» «минус ноль» символизирует , по сути это и обозначает, что мы подходим к числу с левой стороны.
Аналогично, если приближаться к точке «ка» справа
(синяя стрелка), то «игреки» придут к тому же значению , но уже по зелёной стрелке, и правосторонний предел
оформится следующим образом:
«Добавка» символизирует , и запись читается так: «икс стремится к ка справа».
Если односторонние пределы конечны и равны
(как в нашем случае): , то будем говорить, что существует ОБЩИЙ предел . Всё просто, общий предел – это наш «обычный» предел функции
, равный конечному числу.
Заметьте, что если функция не определена при (выколите чёрную точку на ветке графика), то перечисленные выкладки остаются справедливыми. Как уже неоднократно отмечалось, в частности, в статье о бесконечно малых функциях , выражения означают, что «икс» бесконечно близко приближается к точке , при этом НЕ ИМЕЕТ ЗНАЧЕНИЯ , определена ли сама функция в данной точке или нет. Хороший пример встретится в следующем параграфе, когда анализу подвергнется функция .
Определение : функция непрерывна в точке , если предел функции в данной точке равен значению функции в этой точке: .
Определение детализируется в следующих условиях:
1) Функция должна быть определена в точке , то есть должно существовать значение .
2) Должен существовать общий предел функции . Как отмечалось выше, это подразумевает существование и равенство односторонних пределов: .
3) Предел функции в данной точке должен быть равен значению функции в этой точке: .
Если нарушено хотя бы одно из трёх условий, то функция теряет свойство непрерывности в точке .
Непрерывность функции на интервале формулируется остроумно и очень просто: функция непрерывна на интервале , если она непрерывна в каждой точке данного интервала.
В частности, многие функции непрерывны на бесконечном интервале , то есть на множестве действительных чисел . Это линейная функция, многочлены, экспонента, синус, косинус и др. И вообще, любая элементарная функция непрерывна на своей области определения , так, например, логарифмическая функция непрерывна на интервале . Надеюсь, к данному моменту вы достаточно хорошо представляете, как выглядят графики основных функций. Более подробную информацию об их непрерывности можно почерпнуть у доброго человека по фамилии Фихтенгольц.
С непрерывностью функции на отрезке и полуинтервалах тоже всё несложно, но об этом уместнее рассказать на уроке о нахождении минимального и максимального значений функции на отрезке , а пока голову забивать не будем.
Классификация точек разрыва
Увлекательная жизнь функций богата всякими особенными точками, и точки разрыва лишь одна из страничек их биографии.
Примечание : на всякий случай остановлюсь на элементарном моменте: точка разрыва – это всегда отдельно взятая точка – не бывает «несколько точек разрыва подряд», то есть, нет такого понятия, как «интервал разрывов».
Данные точки в свою очередь подразделяются на две большие группы: разрывы первого рода и разрывы второго рода . У каждого типа разрыва есть свои характерные особенности, которые мы рассмотрим прямо сейчас:
Точка разрыва первого рода
Если в точке нарушено условие непрерывности и односторонние пределы конечны , то она называется точкой разрыва первого рода .
Начнём с самого оптимистичного случая. По первоначальной задумке урока я хотел рассказать теорию «в общем виде», но чтобы продемонстрировать реальность материала, остановился на варианте с конкретными действующими лицами.
Уныло, как фото молодожёнов на фоне Вечного огня, но нижеследующий кадр общепринят. Изобразим на чертеже график функции :
Данная функция непрерывна на всей числовой прямой, кроме точки . И в самом деле, знаменатель же не может быть равен нулю. Однако в соответствии со смыслом предела – мы можем бесконечно близко
приближаться к «нулю» и слева и справа, то есть, односторонние пределы существуют и, очевидно, совпадают: (Условие №2 непрерывности выполнено).
Но функция не определена в точке , следовательно, нарушено Условие №1 непрерывности, и функция терпит разрыв в данной точке.
Разрыв такого вида (с существующим общим пределом
) называют устранимым разрывом
. Почему устранимым? Потому что функцию можно доопределить
в точке разрыва:
Странно выглядит? Возможно. Но такая запись функции ничему не противоречит! Теперь разрыв устранён и все счастливы:
Выполним формальную проверку:
2) – общий предел существует;
3)
Таким образом, все три условия выполнены, и функция непрерывна в точке по определению непрерывности функции в точке.
Впрочем, ненавистники матана могут доопределить функцию нехорошим способом, например :
Любопытно, что здесь выполнены первые два условия непрерывности:
1) – функция определена в данной точке;
2) – общий предел существует.
Но третий рубеж не пройден: , то есть предел функции в точке не равен значению данной функции в данной точке.
Таким образом, в точке функция терпит разрыв.
Второй, более грустный случай носит название разрыва первого рода со скачком . А грусть навевают односторонние пределы, которые конечны и различны . Пример изображён на втором чертеже урока. Такой разрыв возникает, как правило, в кусочно-заданных функциях , о которых уже упоминалось в статье о преобразованиях графиков .
Рассмотрим кусочную функцию и выполним её чертёж. Как построить график? Очень просто. На полуинтервале чертим фрагмент параболы (зеленый цвет), на интервале – отрезок прямой (красный цвет) и на полуинтервале – прямую (синий цвет).
При этом в силу неравенства значение определено для квадратичной функции (зелёная точка), и в силу неравенства , значение определено для линейной функции (синяя точка):
В самом-самом тяжёлом случае следует прибегнуть к поточечному построению каждого куска графика (см. первый урок о графиках функций
).
Сейчас нас будет интересовать только точка . Исследуем её на непрерывность:
2) Вычислим односторонние пределы.
Слева у нас красный отрезок прямой, поэтому левосторонний предел:
Справа – синяя прямая, и правосторонний предел:
В результате получены конечные числа
, причем они не равны
. Поскольку односторонние пределы конечны и различны
: , то наша функция терпит разрыв первого рода со скачком
.
Логично, что разрыв не устраним – функцию действительно не доопределить и «не склеить», как в предыдущем примере.
Точки разрыва второго рода
Обычно к данной категории хитро относят все остальные случаи разрыва. Всё перечислять не буду, поскольку на практике в 99%-ти процентах задач вам встретится бесконечный разрыв – когда левосторонний или правосторонний, а чаще, оба предела бесконечны.
И, конечно же, самая напрашивающаяся картинка – гипербола в точке ноль. Здесь оба односторонних предела бесконечны: , следовательно, функция терпит разрыв второго рода в точке .
Я стараюсь наполнять свои статьи максимально разнообразным содержанием, поэтому давайте посмотрим на график функции , который ещё не встречался:
по стандартной схеме:
1) Функция не определена в данной точке, поскольку знаменатель обращается в ноль.
Конечно, можно сразу сделать вывод о том, что функция терпит разрыв в точке , но хорошо бы классифицировать характер разрыва, что часто требуется по условию. Для этого:
Напоминаю, что под записью понимается бесконечно малое отрицательное число
, а под записью – бесконечно малое положительное число
.
Односторонние пределы бесконечны, значит, функция терпит разрыв 2-го рода в точке . Ось ординат является вертикальной асимптотой для графика.
Не редка ситуация, когда оба односторонних предела существуют, но бесконечен только один из них, например:
Это график функции .
Исследуем на непрерывность точку :
1) Функция не определена в данной точке.
2) Вычислим односторонние пределы:
О методике вычисления таких односторонних пределов поговорим в двух последних примерах лекции, хотя многие читатели всё уже увидели и догадались.
Левосторонний предел конечен и равен нулю (в саму точку мы «не заходим»), но правосторонний предел бесконечен и оранжевая ветка графика бесконечно близко приближается к своей вертикальной асимптоте , заданной уравнением (чёрный пунктир).
Таким образом, функция терпит разрыв второго рода в точке .
Как и для разрыва 1-го рода, в самой точке разрыва функция может быть определена. Например, для кусочной функции смело ставим чёрную жирную точку в начале координат. Справа же – ветка гиперболы, и правосторонний предел бесконечен. Думаю, почти все представили, как выглядит этот график.
То, чего все с нетерпением ждали:
Как исследовать функцию на непрерывность?
Исследование функции на непрерывность в точке проводится по уже накатанной рутинной схеме, которая состоит в проверке трёх условий непрерывности:
Пример 1
Исследовать функцию
Решение :
1) Под прицел попадает единственная точка , в которой функция не определена.
2) Вычислим односторонние пределы:
Односторонние пределы конечны и равны.
Таким образом, в точке функция терпит устранимый разрыв.
Как выглядит график данной функции?
Хочется провести упрощение , и вроде бы получается обычная парабола. НО
исходная функция не определена в точке , поэтому обязательна следующая оговорка:
Выполним чертёж:
Ответ : функция непрерывна на всей числовой прямой кроме точки , в которой она терпит устранимый разрыв.
Функцию можно доопределить хорошим или не очень способом, но по условию этого не требуется.
Вы скажете, пример надуманный? Ничуть. Десятки раз встречалось на практике. Почти все задачи сайта родом из реальных самостоятельных и контрольных работ.
Разделаемся с любимыми модулями:
Пример 2
Исследовать функцию на непрерывность. Определить характер разрывов функции, если они существуют. Выполнить чертёж.
Решение
: почему-то студенты боятся и не любят функции с модулем, хотя ничего сложного в них нет. Таких вещей мы уже немного коснулись на уроке Геометрические преобразования графиков
. Поскольку модуль неотрицателен, то он раскрывается следующим образом: , где «альфа» – некоторое выражение. В данном случае , и наша функция должна расписаться кусочным образом:
Но дроби обоих кусков предстоит сократить на . Сокращение, как и в предыдущем примере, не пройдёт без последствий. Исходная функция не определена в точке , так как знаменатель обращается в ноль. Поэтому в системе следует дополнительно указать условие , и первое неравенство сделать строгим:
Теперь об ОЧЕНЬ ПОЛЕЗНОМ приёме решения : перед чистовым оформлением задачи на черновике выгодно сделать чертёж (независимо от того, требуется он по условию или нет). Это поможет, во-первых, сразу увидеть точки непрерывности и точки разрыва, а, во-вторых, 100%-но убережёт от ошибок при нахождении односторонних пределов.
Выполним чертёж. В соответствии с нашими выкладками, слева от точки необходимо начертить фрагмент параболы (синий цвет), а справа – кусок параболы (красный цвет), при этом функция не определена в самой точке :
Если есть сомнения, возьмите несколько значений «икс», подставьте их в функцию (не забывая, что модуль уничтожает возможный знак «минус») и сверьтесь с графиком.
Исследуем функцию на непрерывность аналитически:
1) Функция не определена в точке , поэтому сразу можно сказать, что не является в ней непрерывной.
2) Установим характер разрыва, для этого вычислим односторонние пределы:
Односторонние пределы конечны и различны, значит, функция терпит разрыв 1-го рода со скачком в точке . Ещё раз заметьте, что при нахождении пределов не имеет значения, определена функция в точке разрыва или нет.
Теперь остаётся перенести чертёж с черновика (он сделан как бы с помощью исследования;-)) и завершить задание:
Ответ : функция непрерывна на всей числовой прямой кроме точки , в которой она терпит разрыв первого рода со скачком.
Иногда требуют дополнительно указать скачок разрыва. Вычисляется он элементарно – из правого предела нужно вычесть левый предел: , то есть в точке разрыва наша функция прыгнула на 2 единицы вниз (о чём нам сообщает знак «минус»).
Пример 3
Исследовать функцию на непрерывность. Определить характер разрывов функции, если они существуют. Сделать чертёж.
Это пример для самостоятельного решения, примерный образец решения в конце урока.
Перейдём к наиболее популярной и распространённой версии задания, когда функция состоит из трёх кусков:
Пример 4
Исследовать функцию на непрерывность и построить график функции .
Решение
: очевидно, что все три части функции непрерывны на соответствующих интервалах, поэтому осталось проверить только две точки «стыка» между кусками. Сначала выполним чертёж на черновике, технику построения я достаточно подробно закомментировал в первой части статьи. Единственное, необходимо аккуратно проследить за нашими особенными точками: в силу неравенства значение принадлежит прямой (зелёная точка), и в силу неравенство значение принадлежит параболе (красная точка):
Ну вот, в принципе, всё понятно =) Осталось оформить решение. Для каждой из двух «стыковых» точек стандартно проверяем 3 условия непрерывности:
I) Исследуем на непрерывность точку
1)
Односторонние пределы конечны и различны, значит, функция терпит разрыв 1-го рода со скачком в точке .
Вычислим скачок разрыва как разность правого и левого пределов:
, то есть, график рванул на одну единицу вверх.
II) Исследуем на непрерывность точку
1) – функция определена в данной точке.
2) Найдём односторонние пределы:
– односторонние пределы конечны и равны, значит, существует общий предел.
3) – предел функции в точке равен значению данной функции в данной точке.
На завершающем этапе переносим чертёж на чистовик, после чего ставим финальный аккорд:
Ответ : функция непрерывна на всей числовой прямой, кроме точки , в которой она терпит разрыв первого рода со скачком.
Пример 5
Исследовать функцию на непрерывность и построить её график .
Это пример для самостоятельного решения, краткое решение и примерный образец оформления задачи в конце урока.
Может сложиться впечатление, что в одной точке функция обязательно должна быть непрерывной, а в другой – обязательно должен быть разрыв. На практике это далеко не всегда так. Постарайтесь не пренебрегать оставшимися примерами – будет несколько интересных и важных фишек:
Пример 6
Дана функция . Исследовать функцию на непрерывность в точках . Построить график.
Решение
: и снова сразу выполним чертёж на черновике:
Особенность данного графика состоит в том, что при кусочная функция задаётся уравнением оси абсцисс . Здесь данный участок прорисован зелёным цветом, а в тетради его обычно жирно выделяют простым карандашом. И, конечно же, не забываем про наших баранов: значение относится к ветке тангенса (красная точка), а значение принадлежит прямой .
Из чертежа всё понятно – функция непрерывна на всей числовой прямой, осталось оформить решение, которое доводится до полного автоматизма буквально после 3-4 подобных примеров:
I) Исследуем на непрерывность точку
1) – функция определена в данной точке.
2) Вычислим односторонние пределы:
, значит, общий предел существует.
На всякий пожарный напомню тривиальный факт: предел константы равен самой константе. В данном случае предел нуля равен самому нулю (левосторонний предел).
3) – предел функции в точке равен значению данной функции в данной точке.
Таким образом, функция непрерывна в точке по определению непрерывности функции в точке.
II) Исследуем на непрерывность точку
1) – функция определена в данной точке.
2) Найдём односторонние пределы:
И здесь – предел единицы равен самой единице.
– общий предел существует.
3) – предел функции в точке равен значению данной функции в данной точке.
Таким образом, функция непрерывна в точке по определению непрерывности функции в точке.
Как обычно, после исследования переносим наш чертёж на чистовик.
Ответ : функция непрерывна в точках .
Обратите внимание, что в условии нас ничего не спрашивали про исследование всей функции на непрерывность, и хорошим математическим тоном считается формулировать точный и чёткий ответ на поставленный вопрос. Кстати, если по условию не требуется строить график, то вы имеете полное право его и не строить (правда, потом преподаватель может заставить это сделать).
Небольшая математическая «скороговорка» для самостоятельного решения:
Пример 7
Дана функция . Исследовать функцию на непрерывность в точках . Классифицировать точки разрыва, если они есть. Выполнить чертёж.
Постарайтесь правильно «выговорить» все «слова» =) И график нарисовать поточнее, точность, она везде лишней не будет;-)
Как вы помните, я рекомендовал незамедлительно выполнять чертёж на черновике, но время от времени попадаются такие примеры, где не сразу сообразишь, как выглядит график. Поэтому в ряде случаев выгодно сначала найти односторонние пределы и только потом на основе исследования изобразить ветви. В двух заключительных примерах мы, кроме того, освоим технику вычисления некоторых односторонних пределов:
Пример 8
Исследовать на непрерывность функцию и построить её схематический график.
Решение : нехорошие точки очевидны: (обращает в ноль знаменатель показателя) и (обращает в ноль знаменатель всей дроби). Малопонятно, как выглядит график данной функции, а значит, сначала лучше провести исследование.
На этом уроке будем учиться устанавливать непрерывность функции. Будем делать это с помощью пределов, причем односторонних - правого и левого, которые совсем не страшны, несмотря на то что записываются как и .
Но что такое вообще непрерывность функции? Пока мы не дошли до строгого определения, проще всего представить себе линию, которую можно начертить, не отрывая карандаш от бумаги. Если такая линия начерчена, то она непрерывна. Эта линия и является графиком непрерывной функции.
Графически функция непрерывна в точке ,
если её график не "разрывается" в этой точке. График такой непрерывной
функции -
показан на рисунке ниже.

Определение непрерывности функции через предел. Функция является непрерывной в точке при соблюдении трёх условий:
1. Функция определена в точке .
Если хотя бы одно из перечисленных условий не соблюдено, функция не является непрерывной в точке. При этом говорят, что функция терпит разрыв, а точки на графике, в которых график прерывается, называются точками разрыва функции. График такой функции , терпящей разрыв в точке x=2 - на рисунке ниже.

Пример 1. Функция f (x ) определена следующим образом:
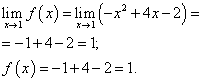
Будет ли эта функция непрерывной в каждой из граничных точек её ветвей, то есть в точках x = 0 , x = 1 , x = 3 ?
Решение. Проверяем все три условия непрерывности функции в каждой граничной точке. Первое условие соблюдается, так как то, что функция определена в каждой из граничных точек, следует из определения функции. Осталось проверить остальные два условия.
Точка x = 0 . Найдём левосторонний предел в этой точке:
.
Найдём правосторонний предел:
x = 0 должны быть найдены при той ветви функции, которая включает в себя эту точку, то есть второй ветви. Находим их:
Как видим, предел функции и значение функции в точке x = 0 равны. Следовательно, функция является непрерывной в точке x = 0 .
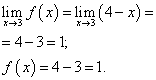
Точка x = 1 . Найдём левосторонний предел в этой точке:
Найдём правосторонний предел:
Предел функции и значение функции в точке x = 1 должны быть найдены при той ветви функции, которая включает в себя эту точку, то есть второй ветви. Находим их:
.
Предел функции и значение функции в точке x = 1 равны. Следовательно, функция является непрерывной в точке x = 1 .
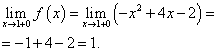
Точка x = 3 . Найдём левосторонний предел в этой точке:
Найдём правосторонний предел:
Предел функции и значение функции в точке x = 3 должны быть найдены при той ветви функции, которая включает в себя эту точку, то есть второй ветви. Находим их:
.
Предел функции и значение функции в точке x = 3 равны. Следовательно, функция является непрерывной в точке x = 3 .
Основной вывод: данная функция является непрерывной в каждой граничной точке.
Что такое непрерывное изменение функции?
Непрерывное изменение функции можно определить как изменение постепенное, без скачков, при котором малое изменение аргумента влечёт малое изменение функции .
Проиллюстрируем это непрерывное изменение функции на примере.

Пусть над столом висит на нитке груз. Под действием этого груза нитка растягивается, поэтому расстояние l груза от точки подвеса нити является функцией массы груза m , то есть l = f (m ) , m ≥0 .
Если немного изменить массу груза, то расстояние l изменится мало: малым изменениям m соответствуют малые изменения l . Однако если масса груза близка к пределу прочности нити, то небольшое увеличение массы груза может вызвать разрыв нити: расстояние l скачкообразно увеличится и станет равным расстоянию от точки подвеса до поверхности стола. График функции l = f (m ) изображён на рисунке. На участке этот график является непрерывной (сплошной) линией, а в точке он прерывается. В результате получается график, состоящий из двух ветвей. Во всех точках, кроме , функция l = f (m ) непрерывна, а в точке она имеет разрыв.
Исследование функции на непрерывность может быть как самостоятельной задачей, так и одним из этапов полного исследования функции и построения её графика .
Непрерывность функции на промежутке
Пусть функция y = f (x ) определена в интервале ]a , b [ и непрерывна в каждой точке этого интервала. Тогда она называется непрерывной в интервале ]a , b [ . Аналогично определяется понятие непрерывности функции на промежутках вида ]- ∞, b [ , ]a , + ∞[ , ]- ∞, + ∞[ . Пусть теперь функция y = f (x ) определена на отрезке [a , b ] . Разница между интервалом и отрезком: граничные точки интервала не входят в интервал, а граничные точки отрезка входят в отрезок. Здесь следует упомянуть о так называемой односторонней непрерывности: в точке a , оставаясь на отрезке [a , b ] , мы можем приближаться только справа, а к точке b - только слева. Функция называется непрерывной на отрезке [a , b ] , если она непрерывна во всех внутренних точках этого отрезка, непрерывна справа в точке a и непрерывна слева в точке b .
Примером непрерывной функции может служить любая из элементарных функций. Каждая элементарная функция непрерывна на любом отрезке, на котором она определена. Например, функции и непрерывны на любом отрезке [a , b ] , функция непрерывна на отрезке [0 , b ] , функция непрерывна на любом отрезке, не содержащем точку a = 2 .
Пример 4. Исследовать функцию на непрерывность.
Решение. Проверяем первое условие. Функция не определена в точках - 3 и 3. По меньшей мере одно из условий непрерывности функции на всей числовой прямой не выполняется. Поэтому данная функция является непрерывной на интервалах
.Пример 5.
Определить, при каком значении
параметра a
непрерывна на всей области определения
функция
Решение.
Найдём правосторонний предел при :
.
Очевидно, что значение в точке x = 2 должно быть равно ax :
a = 1,5 .
Пример 6.
Определить, при каких значениях
параметров a
и b
непрерывна на всей области определения
функция
Решение.
Найдём левосторонний предел функции в точке :
.
Следовательно, значение в точке должно быть равно 1:
Найдём левосторонний функции в точке :
Очевидно, что значение функции в точке должно быть равно :
Ответ: функция непрерывна на всей области определения при a = 1; b = -3 .
Основные свойства непрерывных функций
К понятию непрерывной функции математика пришла, изучая в первую очередь различные законы движения. Пространство и время бесконечны, и зависимость, например, пути s от времени t , выраженная законом s = f (t ) , даёт пример непрерывной функции f (t ) . Непрерывно изменяется и температура нагреваемой воды, она также является непрерывной функцией от времени: T = f (t ) .
В математическом анализе доказаны некоторые свойства, которыми обладают непрерывные функции. Приведём важнейшие из этих свойств.
1. Если непрерывная на интервале функция принимает на концах интервала значения разных знаков, то в некоторой точке этого отрезка она принимает значение, равное нулю. В более формальном изложении это свойство дано в теореме, известной как первая теорема Больцано-Коши.
2. Функция f (x ) , непрерывная на интервале [a , b ] , принимает все промежуточные значения между значениями в концевых точках, то есть, между f (a ) и f (b ) . В более формальном изложении это свойство дано в теореме, известной как вторая теорема Больцано-Коши.
Определение. Пусть функция у = f(x) определена в точке x0 и некоторой её окрестности. Функция у = f(x) называется непрерывной в точке x0 , если:
1. существует
2. этот предел равен значению функции в точке x0:
При определении предела подчёркивалось, что f(x) может быть не определена в точке x0, а если она определена в этой точке, то значение f(x0) никак не участвует в определении предела. При определении непрерывности принципиально, что f(x0) существует, и это значение должно быть равно lim f(x).
Определение.
Пусть функция у = f(х) определена в точке x0 и некоторой её окрестности. Функция f(x) называется непрерывной в точке x0, если для всех ε>0 существует положительное число δ, такое что для всех x из δ-окрестности точки x0 (т.е. |х-x0|
Здесь учитывается, что значение предела должно быть равно f(x0), поэтому, по сравнению с определением предела, снято условие проколотости δ-окрестности 0
Дадим ещё одно (равносильное предыдущим) определение в терминах приращений. Обозначим Δх = x - x0, эту величину будем называть приращением аргумента. Так как х->x0, то Δх->0, т е. Δх - б.м. (бесконечно малая) величина. Обозначим Δу = f(х)-f(x0), эту величину будем называть приращением функции, так как |Δу| должно быть (при достаточно малых |Δх|) меньше произвольного числа ε>0, то Δу- тоже б.м. величина, поэтому
Определение. Пусть функция у = f(х) определена в точке x0 и некоторой её окрестности. Функция f(х) называется непрерывной в точке x0 , если бесконечно малому приращению аргумента соответствует бесконечно малое приращение функции.
Определение. Функция f(х), не являющаяся непрерывной в точке x0, называется разрывной в этой точке.
Определение. Функция f(х) называется непрерывной на множестве X, если она непрерывна в каждой точке этого множества.
Теорема о непрерывности суммы, произведения, частного
Теорема о переходе к пределу под знаком непрерывной функции
Теорема о непрерывности суперпозиции непрерывных функций
Пусть функция f(x) определена на отрезке и монотонна на этом отрезке. Тогда f(x) может иметь на этом отрезке только точки разрыва первого рода.
Теорема о промежуточном значении. Если функция f(x) непрерывна на отрезке и в двух точках а и b (a меньше b) принимает неравные значения A = f(a) ≠ В = f(b), то для любого числа С, лежащего между А и В, найдётся точка c ∈ , в которой значение функции равно С: f(c) = C.
Теорема об ограниченности непрерывной функции на отрезке. Если функция f(x) непрерывна на отрезке, то она ограничена на этом отрезке.
Теорема о достижении минимального и максимального значений. Если функция f(x) непрерывна на отрезке, то она достигает на этом отрезке свои нижнюю и верхнюю грани.
Теорема о непрерывности обратной функции. Пусть функция y=f(x) непрерывна и строго возрастает (убывает) на отрезке [а,b]. Тогда на отрезке существует обратная функция х = g(y), также монотонно возрастающая (убывающая) на и непрерывная.
Пусть точка a принадлежит области задания функции f(x) и любая ε -окрестность точки a содержит отличные от a точки области задания функции f(x) , т.е. точка a является предельной точкой множества {x} , на котором задана функция f(x) .
Определение . Функция f(x) называется непрерывной в точке a , если функция f(x) имеет в точке a предел и этот предел равен частному значению f(a) функции f(x) в точке a .
Из этого определения имеем следующее условие непрерывности функции f(x) в точке a :
Так как , то мы можем записать
Следовательно, для непрерывной в точке a функции символ предельного перехода и символ f характеристики функции можно менять местами.
Определение . Функция f(x) называется непрерывной справа (слева) в точке a , если правый (левый) предел этой функции в точке a существует и равен частному значению f(a) функции f(x) в точке a .
Тот факт, что функция f(x) непрерывна в точке a справа записывают так:
А непрерывность функции f(x) в точке a слева записывают как:
Замечание . Точки, в которых функция не обладает свойством непрерывности, называются точками разрыва этой функции.
Теорема . Пусть на одном и том же множестве заданы функции f(x) и g(x) , непрерывные в точке a . Тогда функции f(x)+g(x) , f(x)-g(x) , f(x) · g(x) и f(x)/g(x) - непрерывны в точке a (в случае частного нужно дополнительно требовать g(a) ≠ 0 ).
Непрерывность основных элементарных функций
1) Степенная функция y=x n при натуральном n непрерывна на всей числовой прямой.
Сначала рассмотрим функцию f(x)=x
. По первому определению предела функции в точке a
возьмем любую последовательность {x n }
, сходящуюся к a
, тогда соответствующая последовательность значений функций {f(x n)=x n }
также будет сходиться к a
, то есть , то есть функция f(x)=x
непрерывная в любой точек числовой прямой.
Теперь рассмотрим функцию f(x)=x n , где n - натуральное число, тогда f(x)=x · x · … · x . Перейдем к пределу при x → a , получим , то есть функция f(x)=x n непрерывна на числовой прямой.
2) Показательная функция.
Показательная функция y=a x при a>1 является непрерывной функцией в любой точке бесконечной прямой.
Показательная функция y=a x при a>1 удовлетворяет условиям:
3) Логарифмическая функция.
Логарифмическая функция непрерывна и возрастает на всей полупрямой x>0 при a>1 и непрерывна и убывает на всей полупрямой x>0 при 0, причем
4) Гиперболические функции.
Гиперболическими функциями называются следующие функции:

Из определения гиперболических функции следует, что гиперболический косинус, гиперболический синус и гиперболический тангенс заданы на всей числовой оси, а гиперболический котангенс определен всюду на числовой оси, за исключением точки x=0 .
Гиперболические функции непрерывны в каждой точке области их задания (это следует из непрерывности показательной функции и теоремы об арифметических действиях).
5) Степенная функция
Степенная функция y=x α =a α log a x непрерывна в каждой точке открытой полупрямой x>0 .
6) Тригонометрические функции.
Функции sin x и cos x непрерывны в каждой точке x бесконечной прямой. Функция y=tg x (kπ-π/2,kπ+π/2) , а функция y=ctg x непрерывна на каждом из интервалов ((k-1)π,kπ) (здесь всюду k - любое целое число, т.е. k=0, ±1, ±2, …) .
7) Обратные тригонометрические функции.
Функции y=arcsin x и y=arccos x непрерывны на отрезке [-1, 1] . Функции y=arctg x и y=arcctg x непрерывны на бесконечной прямой.
Два замечательных предела
Теорема . Предел функции (sin x)/x в точке x=0 существует и равен единице, т.е.
Этот предел называется первым замечательным пределом .
Доказательство
. При 0
Эти неравенства справедливы также и для значений x
, удовлетворяющих условиям -π/2. Так как cos x
- непрерывная функция, то
. Таким образом, для функций cos x
, 1 и в некоторой δ
-окрестности точки x=0
выполняются все условия теорем. Следовательно,
.
Теорема
. Предел функции при x → ∞
существует и равен числу e
:
Этот предел называется вторым замечательным пределом .
Замечание . Верно также, что
Непрерывность сложной функции
Теорема . Пусть функция x=φ(t) непрерывна в точке a , а функция y=f(x) непрерывна в точке b=φ(a) . Тогда сложная функция y=f[φ(t)]=F(t) непрерывна в точке a .
Пусть x=φ(t) и y=f(x) - простейшие элементарные функции, причем множество значений {x} функции x=φ(t) является областью задания функции y=f(x) . Как мы знаем, элементарные функции непрерывны в каждой точке области задания. Поэтому по предыдущей теореме сложная функция y=f(φ(t)) , то есть суперпозиция двух элементарных функций, непрерывна. Например, функция непрерывна в любой точке x ≠ 0 , как сложная функция от двух элементарных функций x=t -1 и y=sin x . Также функция y=ln sin x непрерывна в любой точке интервалов (2kπ,(2k+1)π) , k ∈ Z (sin x>0 ).